近日,生态学院何念鹏教授团队在国际综合期刊《Sicence Bulletin》上发表题为《Rapid increase in carbon sink from China’s urban forests》的研究成果,基于森林碳汇模型(Forest Carbon Sequestration,FCS)和长时间序列的城市森林土地利用类型数据,估算中国城市森林的过去、现在和未来的碳汇,为城市森林的规划和发展提供重要参考,并为政策制定者在设计生态友好型城市区域方面做出贡献。
在全球范围内,城市化是过去半个世纪非常重要的社会现象;据预测,到2050年大约三分之二的世界人口将生活在城市地区。作为城市绿化的重要组成部分,城市森林,通常被定义为生长在城市区域内的单个或群体树木,已被证明可以储存大量有机碳。然而,很少有研究探讨城市化过程中城市森林碳汇的长期时空动态规律。随着城市化进程加快,揭示城市森林碳储量的时空动态对理解全球碳循环和城市可持续发展越来越重要。
作为世界第二大经济体,中国自1978年改革开放以来,城市化进程和经济发展迅速,城市人口比例从1978年的17.92%增至2022年的65.22%。为了抵消城市化带来的负面影响,地方政府启动了“百万亩(666平方公里)平原植树造林工程”和《“十四五”时期新型城镇化实施方案(2021–2025年)》等项目,以提高城市建成区的绿化覆盖率,增加城市森林蓄积量。然而,人们对这些城市植树造林政策的固碳效果仍然知之甚少,也鲜有中国特定区域或时期的城市森林碳汇的系统性报告。因此,亟需评估中国城市森林过去、现在和未来的碳汇,这对于更有效地平衡城市化与环境保护之间的关系至关重要。
本研究基于系统全面的野外调查数据,长时间序列土地覆盖和城市边界数据,并结合以Logistic生长方程为基础理论建立的森林碳汇(FCS)模型,系统揭示了三种气候情景下1995-2060年中国城市森林碳汇的时空变化格局及其驱动因素。

图1 1995–2060年间三种气候情景下中国城市森林的碳汇动态变化
研究结果表明:从1995年到2020年,中国城市面积增加了16.07 × 104 km2,平均增长率为0.64 × 104 km2 a-1。1995–2060年间,中国城市森林总计储存了522.7 ± 9.6 Tg C,其中植被和土壤分别储存了222.5 ± 6.6 Tg C(1Tg = 1012 g)和300.2 ± 3.9 Tg C。1995–2060年间,中国城市森林的固碳速率在1.92–22.8 Tg C a-1之间变化,平均为8.04 ± 0.15 Tg C a-1。
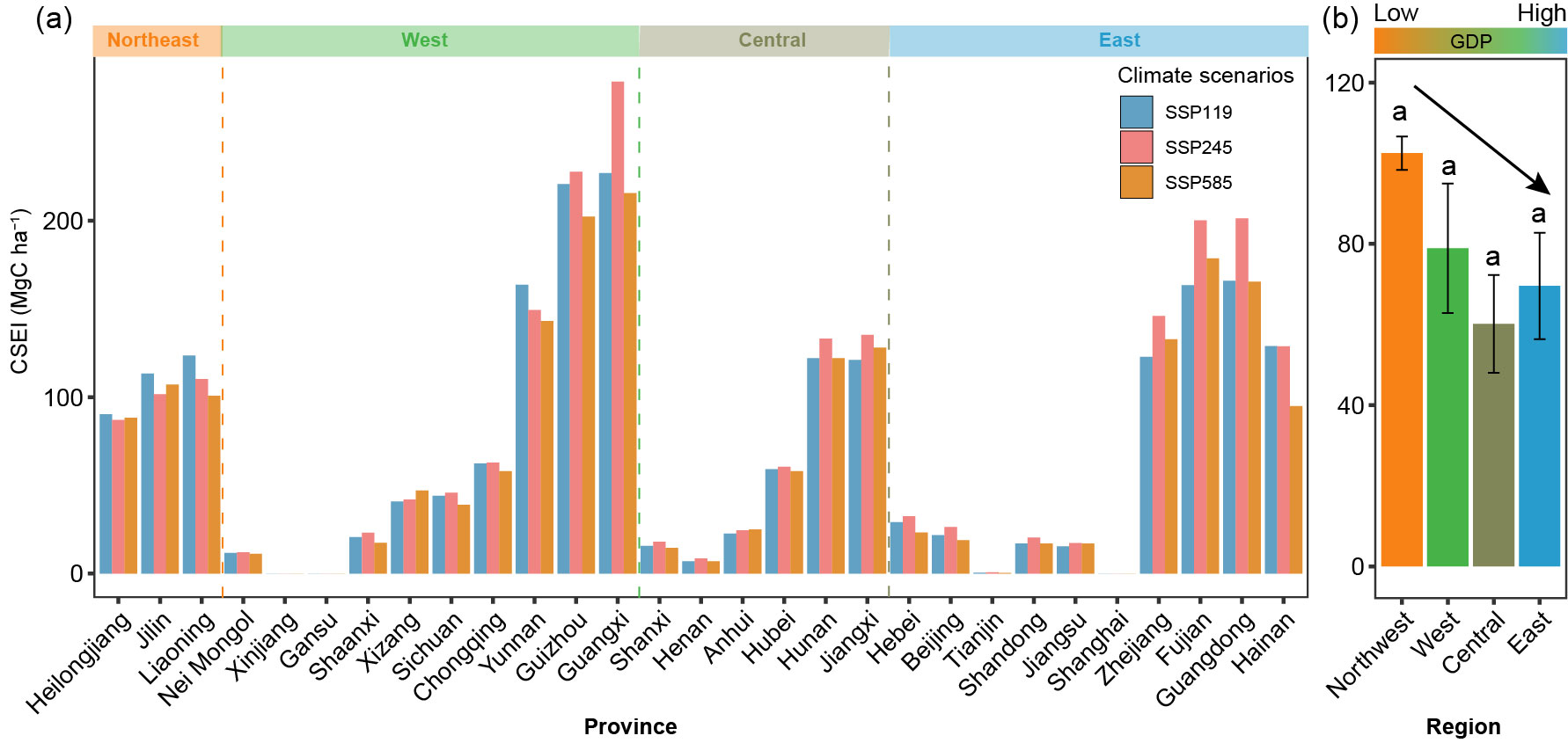
此外,城市森林的碳汇增量与城市经济发展密切相关。城市森林碳汇增量效率指数(CSEI,城市扩张造成的森林碳汇变化与城市扩张面积的比值)与中国各省的发展水平呈负相关关系;在三种气候情景下,从1995年到2060年,CSEI在< 0.01 Mg C ha-1(新疆)到240.52 ± 27.53 Mg C ha-1(广西)之间变化。随着中国经济不断发展和人们对美好环境更高的追求,预计未来城市面积将不断扩大,城市森林碳汇也将不断增加。考虑到中国快速的城市化进程,随着社会经济水平的发展,对城市森林需求的增加,城市森林碳汇对气候调节和生态平衡的意义将更加重大。因此,为缓解城市森林固然能力与社会经济发展之间的失衡,未来必须实施合理的管理措施(如合理规划城市森林、定期修剪、适当施肥等),协调碳汇与社会经济发展之间的关系,促进城市森林可持续发展。

图2城市森林碳汇增量效率指数(CSEI)与社会发展水平的关系
论文链接:https://doi.org/10.1016/j.scib.2025.06.015
作者:张佳慧,审稿人:刘志理,编辑:于文浩,审核人:张艳波